首页  匀速直线运动  匀变速直线运动  自由落体运动  上抛运动  平抛运动  斜抛运动 匀速圆周运动  练习与测试

匀变速直线运动

 

自由落体运动

概念定义

不受任何阻力,只在重力作用下而降落的物体,叫自由落体。如在地球引力作用下由静止状态开始下落的物体。地球表面附近的上空可看作是恒定的重力场。如不考虑大气阻力,在该区域内的自由落体运动是匀加速直线运动。其加速度恒等于重力加速度g。虽然地球的引力和物体到地球中心距离的平方成反比,但地球的半径远大于自由落体所经过的路程,所以引力在地面附近可看作是不变的,自由落体的加速度即是一个不变的常量。它是初速为零的匀加速直线运动。

理解要点

物体只在重力作用下在真空中从静止开始下落的运动叫做(自由落体运动)。

1. 运动学特点: http://res.tongyi.com/resources/old_article/educa/unvisity/zxxzt/gz/gzt/wl/a/4.files/image001.gif ,其大小、方向均不变。

2. 受力特点:在真空中物体只受重力,或者在空气中,物体所受空气阻力很小,和物体重力相比可忽略。

3. 运动性质:自由落体运动是初速度为零的匀加速直线运动。所以匀变速直线运动的所有规律和初速度为零的匀加速直线运动中的各种比例关系都可用于自由落体运动。

4. 自由落体的加速度:在同一地点,一切物体在自由落体运动中的加速度都相同,这个加速度叫重力加速度,用g表示,地球上不同的纬度,g值不同。其方向为竖直向下。通常计算时,取 http://res.tongyi.com/resources/old_article/educa/unvisity/zxxzt/gz/gzt/wl/a/4.files/image002.gif ,粗略计算时,取 http://res.tongyi.com/resources/old_article/educa/unvisity/zxxzt/gz/gzt/wl/a/4.files/image003.gif

 

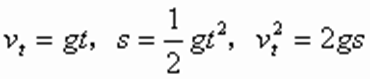
基本公式

http://res.tongyi.com/resources/old_article/educa/unvisity/zxxzt/gz/gzt/wl/a/4.files/image004.gif

例题选讲

1:关于自由落体运动,下列说法正确的是( )

A. 物体做自由落体运动时不受任何外力的作用

B. 在空气中忽略空气阻力的运动就是自由落体运动

C. 自由落体运动是初速度为零的匀加速直线运动

D. 不同物体做自由落体时其速度变化的快慢是不相同的

解析:在真空中物体只受重力,或者在空气中,物体所受空气阻力很小,和物体重力相比可忽略,可知AB项错误;一切物体做自由落体运动时其速度变化的快慢即为重力加速度,D项错误;根据自由落体运动的定义知C项正确。

2:甲物体的质量是乙物体质量的2倍,甲从H高处自由下落,乙从2H高处与甲同时自由下落,在两物体未着地前,下列说法正确的是()

A. 两物体下落过程中,同一时刻甲的速度比乙的速度大

B. 下落过程中,下落第1s末时,它们的速度相同

C. 下落过程中,各自下落1m时,它们的速度相同

D. 下落过程中,甲的加速度比乙的大

解析:根据自由落体运动公式 http://res.tongyi.com/resources/old_article/educa/unvisity/zxxzt/gz/gzt/wl/a/4.files/image005.gif 可知A项错误,B项正确;由公式 http://res.tongyi.com/resources/old_article/educa/unvisity/zxxzt/gz/gzt/wl/a/4.files/image006.gif 可知C项正确;又根据自由落体运动的加速度不变可知D项错误。故选BC项。

 

 

 

相关链接:  徐剑网   徐剑笔耕集   徐剑漫淡录   徐剑专题站   徐剑研究园

 

 

<